
1. 해설 및 필요한 개념
문제에서 열교환기의 최대 가능 열전달률을 물어봤고, 공기와 냉수 각각의 유량, 비열, 시작온도만 주어져있다. 공기는 90도에서 시작해 20도 아래로 떨어질 수 없고, 냉수는 20도에서 시작해 90도까지만 갈 수 있다는 점을 이용하는것이 포인트이다. 각각의 경우에 열전달률을 계산해보고, 실제로 온도가 어떻게 변하는지를 계산해보면 된다. 계산 과정은 아래 그림을 보면서 설명하겠다.

공기를 기준으로 계산한 최대 열전달률은 175kW, 냉수를 기준으로 계산한 최대 열전달률은 441kW이다. 공기와 냉수가 열전달한 양은 같다는 점을 이용해 각각의 경우에 열전달된 공기와 냉수의 온도를 계산할 수 있다. 이 온도를 계산해보면 냉수가 90도까지 올라간 경우, 공기의 온도가 20도보다 작은 숫자가 나와 이런 열전달은 불가능하다는 것을 알 수 있다. 따라서 공기가 90도에서 20도까지 낮아진 경우가 최대 열전달률이 되어 답은 175kW이다.
2. 나의 생각
당시 이런 유형은 처음 출제된 유형이라 시험장에서 상당히 어렵게 느껴졌고, 결국 풀지 못해 찍고 넘어갔던 문제 중 하나이다. 문제에서 의도하는 풀이를 알아내지 못했던 것으로 기억한다. 앞으로 얼마든지 응용되어 나올만한 유형이라 풀이를 잘 알아둘 필요가 있어보인다.

1. 해설 및 필요한 개념
전단응력의 정의만 알고 있으면 쉽게 풀 수 있는 문제다. 풀이는 아래 사진으로 대체한다.

2. 나의 생각
개념도 쉽고 계산도 그리 복잡하지 않다. 다만 단위가 좀 생소할 수 있어 kgf 단위환산은 따로 암기해둬야한다.

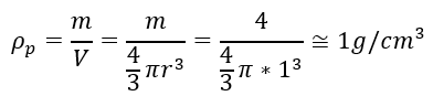
1. 해설 및 필요한 개념
물체의 운동 방향은 구체와 액체의 밀도를 비교해보면 된다. 구의 밀도의 계산식은 아래와 같다.

구체의 밀도(1)가 액체(1.1)보다 작으므로 구체는 떠오르게 된다.
스토크 영역의 종말속도식을 이용해 액체의 점도를 계산한다. 식은 아래와 같다.

따라서 정답은 1번이다.
2. 나의 생각
이 문제는 처음 시험장에서 봤을때 굉장히 어려워보였다. 이미 앞에서 시간을 많이 쓴 상황이라 시간의 압박도 상당했기에 푸는데 시간이 오래 걸릴 것 같아 문제만 쓱 보고 그냥 넘어갔던 문제 중 하나이다. 여유가 있었다면 충분히 풀 수 있었던 문제라고 생각한다. 개념들은 이미 문제에서 많이 나왔던 내용이라 생소하진 않다. 다만 보통 종말속도는 아래로 떨어지는 경우가 대부분인데 이 문제는 위로 올라가는 종말속도라 이것만 체크하고 넘어가면 될 것 같다.

1. 해설 및 필요한 개념
문제에서 압력손실(=압력강하)을 물어봤다. 압력손실을 보는 순간 하겐포아즈식이 떠올라야하고, 하겐포아즈의 중요한 가정은 '층류'이므로 레이놀즈를 계산해 층류인지 확인해야겠다는 생각이 필요하다. 풀이는 아래와 같다.

레이놀즈수가 2100보다 작아 층류이므로 하겐포아즈 식을 사용해 압력강하를 계산하면 된다. 단위환산만 신경쓰면 되고, 최종 답은 4번이다.
2. 나의 생각
본인의 선택이겠지만 확실하게 풀고싶다면 레이놀즈를 확인해야하고, 조금이라도 시간을 아끼겠다면 출제자가 층류로 문제를 만들었겠지 하고선 하겐포아즈 식만 사용해도 되긴 한다. 필자는 시험장에서 찝찝한 기분을 남기기 싫어 레이놀즈를 확인해봤던 것으로 기억한다. 상황에 맞춰서 취사선택하면 될 것 같다.

1. 해설 및 필요한 개념
선지 1 : 층류인 경우, 마찰계수는 레이놀즈수에 반비례한다.
선지 2 : 난류에서 레이놀즈수가 일정하더라도, 표면이 거친 경우의 마찰계수는 매끈한 경우보다 아주 커진다(맥케이브)
선지 3 : 층류인 경우에는 거칠기가 마찰계수에 큰 영향을 미치지 않는다(맥케이브)
선지 4 : 선지1과 연관지어 생각한다면, 층류인 경우 마찰계수는 레이놀즈수에 반비례하기 때문에 층류에서는 레이놀즈가 작아질수록 마찰계수는 커지기 때문에 난류보다 층류에서의 마찰계수가 작다고만은 할 수 없을 것이다.
2. 나의 생각
선지 3번의 표현은 많이 나왔던 내용이라 3번을 보고 확실하게 답을 찍고 넘어갔었다. 마찰계수 관련한 내용은 빈출주제이므로 관련한 내용까지 잘 알아둬야한다.