
1. 필요한 개념 및 해설
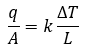
열전도의 가장 기본이 되는 푸리에의 열전도식만 알고 있으면 풀 수 있다. 단열, 정상상태, 1차원 평면벽인 상황이므로 아래와 같은 식을 적용할 수 있다.

문제에서 열손실속도(W/m2)를 물어봤으므로 등호 오른쪽만 계산하면 된다. 두께의 단위만 조심해서 계산하면 된다.
1 × (25+5) / 0.004 = 30 × 250 = 7500 W/m2
2. 나의 생각
1차원 평면벽은 매우 빈출되는 주제다. 식 암기는 필수고, 위에 식이 어떻게 유도되었는지 알면 더 좋다.

1. 필요한 개념 및 해설
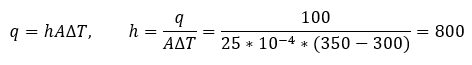
문제의 상황을 좀 더 간단하게 생각하면 전기로 공급되는 열과 표면에서 대류로 인한 열손실이 같음을 이용하면 된다. 다른 말로 하면 평판이 정상상태임을 이용해 문제를 풀면 된다. 문제에서 대류에 의한 열전달밖에 없으므로 대류열전달 식을 바로 사용하면 된다.

2. 나의 생각
필자는 문제의 상황을 위의 해설처럼 간단하게 생각한 후 식을 세우는 방법을 주로 사용했다. 이렇게 해야 문제가 간단해지는 느낌이 있어서 그랬던 것 같다. 문제를 많이 풀어봐야 이런 느낌이 생기는 것 같다.
추가로 위 문제에서 정상상태임을 알 수 있는 근거는 평판의 온도가 균일하다는 조건 때문에 그렇다. 정상상태란 시간의 흐름에 따라 상태가 변하지 않는 것을 의미하기 때문에 그렇다. 역시 출제자는 문제 조건 하나하나에 신경을 쓴다는 것을 알 수 있다.
또한 평판이 매우 얇다고 가정하는 이유는 평판 옆면에서도 대류가 일어날 수 있는데 이를 고려하지 말라는 의미다.

1. 필요한 개념 및 해설
흑체의 플럭스는 온도의 네제곱에 비례하므로 절대온도가 2배가 된다면, 플럭스는 16배 증가한다.
2. 나의 생각
거저 주는 문제다.

1. 필요한 개념 및 해설
레이놀즈 수의 정의만 알면 풀 수 있는 문제다. 단위환산만 조심하자.

2. 나의 생각
위 문제처럼 단위가지고 장난치는 문제가 있는데 필자는 kg, m, 같은 기본단위로 전부 환산해 문제를 풀었다. 이렇게 하는게 환산할때 실수를 덜하는 것 같고, 이번엔 어떤 단위로 환산할지 고민을 안하니 계산은 귀찮아도 심적으로는 훨씬 편했던 것 같다. 문제를 많이 풀어보면서 각자에게 맞는 방법을 선택하면 되고 필자의 방법은 참고만 하면 된다.

1. 필요한 개념 및 해설
마노미터와 관련된 압력 문제를 풀때는 '두 지점의 높이가 같으면 두 지점의 압력은 같다' 의 내용을 알고 있어야 한다.
이를 적용하면, A의 압력 + T유체 압력 = B의 압력, B의 압력 = 대기압 + M유체 압력
따라서 A의 압력 = 대기압 + M유체 압력 - T유체 압력
여기서 1,2번은 소거되고, T유체의 높이는 d1과 관련있으니 답은 3번이다.
2. 나의 생각
마노미터 문제도 자주 출제되는 유형이다. 가장 기본 개념인 높이가 같으면 압력이 같다를 꼭 알고있자.
'합격자가 푸는 기출해설 > 22년 국가직 7급' 카테고리의 다른 글
| 22년 전달현상 나책형 11~15문 (2) | 2024.02.12 |
|---|---|
| 22년 전달현상 나책형 6~10문 (1) | 2023.12.31 |
| 22년 화공열역학 나책형 21~25문 (0) | 2023.07.29 |
| 22년 화공열역학 나책형 16~20문 (0) | 2023.02.22 |
| 22년 화공열역학 나책형 11~15문 (0) | 2023.02.18 |