
1. 필요한 개념 및 해설
부피 팽창률과 등온 압축률은 매우매우 빈출개념이다. 아래의 결과식은 필수적으로 암기해야한다.

이 식을 적분하면 다음과 같이 된다.

2. 나의 생각
기본 개념만 알고 있으면 쉽게 풀 수 있는 문제다. 첫번째 식이 어떻게 나왔는지 유도해보면 더욱 좋다.

1. 필요한 개념 및 풀이
최대일은 깁스에너지(G)나 헬름홀츠에너지(A)로 계산할 수 있다. 두 경우를 비교해보면 아래와 같다.
- 깁스에너지를 이용한 최대일 : 최대 비팽창일
- 헬름홀츠에너지를 이용한 최대일 : 최대 (팽창일 + 비팽창일)
문제에 주어진 조건은 비흐름 공정뿐이다. 그렇다면 공기가 흐르지 않고 어떤 용기같은 곳에 담겨있다고 생각할 수 있는데 이때 팽창일을 무시한다고 볼 수는 없다(공기의 부피가 변할 수 있다는 말과 같다) 따라서 헬름홀츠에너지를 이용해 최대일을 계산해야한다. 식은 아래와 같다.

2. 나의 생각
시험장에서 넘겼던 문제 중 하나이다. 최대일을 보자마자 깁스에너지를 이용해 구했는데 당연히 계산한 값이 선지에 없었고, 못풀겠다는 생각이 들어 바로 넘어갔었다. 아마 헬름홀츠에너지를 이용한 최대일 문제가 처음 출제된 것으로 기억하는데 개념을 꼭 정리해두자.

1. 필요한 개념 및 해설
평형상수를 이용해 반응물(또는 생성물)의 분율을 구하는 문제다. 이상기체임을 가정했기에 식은 다음과 같다.

초기 반응물을 이용해 아래와 같은 표를 그려본다.

이제 처음식에 수치를 대입하면 된다.

초기 CO는 1몰이 존재했으므로 답은 그대로 1/3이 된다.
2. 나의 생각
실수로 틀렸던 문제 중 하나이다. 반응식의 계수가 모두 1이므로 압력의 영향을 고려할 필요가 없는데 3bar를 고려해 계산해서 틀렸다. 빈출유형임에도 이런 실수로 틀리면 매우매우 아까우니 평소에 어떤 실수를 자주하는지 파악해 의식적으로 고치려고 하는 것이 중요하다.

1. 필요한 개념 및 해설
열역학적 개념들의 기본식과 맥스웰 방정식을 이용해 유도하는 문제다. 유도과정은 아래와 같다.

2. 나의 생각
이정도의 유도는 가볍게 해낼 수 있어야 한다. 유도과정의 첫번째 줄 내용은 암기해놓는것을 추천한다.

1. 필요한 개념 및 해설
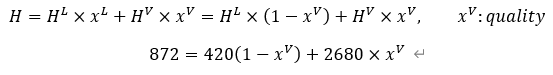
조름공정은 등엔탈피 공정임을 알아야 풀 수 있는 문제다. 조름팽창 되기전과 된 후의 엔탈피가 동일하므로 1700kPa, 477K 포화액체 물의 엔탈피인 872 kJ/kg 가 습윤 수증기의 엔탈피임을 알 수 있다. 수증기의 질은 포화증기의 분율 정도로 이해하면 된다. 다시 말하면 습윤 수증기 중 포화증기의 비율을 의미한다. 관련 식을 세우면 아래와 같다.

방정식을 풀면 0.2가 나온다.
2. 나의 생각
조름공정의 특징과 질(quality)의 개념만 알고 있으면 쉽게 풀 수 있는 문제다. 좀 더 깊게 파고들자면 문제에 괄호안의 조건이 왜 주어졌는지 궁금해하는 분들도 있을 것 같다. 에너지수지식에 괄호안의 조건을 대입하면 '엔탈피 변화 = 0' 이라는 결과가 나오게 된다. 조름공정이 등엔탈피 공정이라는 것을 다시 한번 설명해 준 것이라 보면 된다(출제자의 배려?지만 실제 시험장에서 저걸 이용해 등엔탈피임을 알면 절대 안된다. 조름공정임을 보자마자 등엔탈피가 떠올라야 한다)
'합격자가 푸는 기출해설 > 22년 국가직 7급' 카테고리의 다른 글
| 22년 전달현상 나책형 6~10문 (1) | 2023.12.31 |
|---|---|
| 22년 전달현상 나책형 1~5문 (0) | 2023.09.02 |
| 22년 화공열역학 나책형 16~20문 (0) | 2023.02.22 |
| 22년 화공열역학 나책형 11~15문 (0) | 2023.02.18 |
| 22년 화공열역학 나책형 6~10문 (0) | 2023.02.16 |