
1. 필요한 개념 및 해설
반응열이 음수면 발열반응, 양수면 흡열반응이다. 그나마 선지 1과 3이 헷갈릴만한데, 선지 1은 표준상태에 대한 정확한 개념만 알고 있으면 된다. 표준 상태란 온도와 상관없이 압력이 1bar 일때의 상태를 말한다. 화학에서 STP의 개념과 혼동하지 않도록 주의하자. 선지 3에서 표준 반응열은 반응물과 생성물의 표준 생성열을 이용해 계산하는데, 이때 반응물 또는 생성물의 표준 생성열과 양론계수의 곱을 모두 더해서 표준 반응열을 계산하기 때문에 양론계수가 2배가 된다면 표준 반응열도 2배가 된다.
2. 나의 생각
선지 2번이 너무 명확히 틀렸기에 시험장에서 2번 보자마자 바로 찍고 넘어갔다. 표준 반응열 관련 개념인 표준 생성열이나 표준 연소열도 같이 공부해두자.

1. 필요한 개념 및 해설
- 선지 1
단열 조건이 아니라면 반응열이 외부로 빠져나갈 수 있고, 그렇게 되면 당연히 최고온도를 만족하기 어렵다.
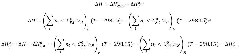
- 선지 2
표준 생성 엔탈피를 이용해 표준 반응 엔탈피를 구하는 공식을 적어놓은 것이다. 반응식만 적고 아래 공식에 그대로 대입하면 된다.
반응식 : CH4 + 2O2 → CO2 + 2H2O
표준 반응 엔탈피 = ∑(생성물 표준 생성 엔탈피 × 양론계수) - ∑(반응물 표준 생성 엔탈피 × 양론계수)
- 선지 3
등호 오른쪽 수식은 델타 H에 대한 값이다. 아래 수식을 참고하자.

- 선지 4
아래와 같은 열린계에서 반응이 일어난다고 생각하고 에너지 수지식을 작성해본다.

정상상태라는 언급이 문제에 없어 추가 설명을 남긴다. 정상상태란 시간의 흐름에 따라 변하지 않고 일정한 상태를 유지하는 것을 의미하는데, 문제에 주어진 양만큼의 반응물이 계로 들어가면 항상 정해진 생성물의 양만큼 나오게 된다. 따라서 투입량이 변하지 않는 이상 생성량도 변할 일이 없고, 이를 정상상태라고 볼 수 있다.
2. 나의 생각
실제 시험장에서 나름 시간을 쏟았던 문제였다. 3번이 생각보다 잘 보이지 않았고, 틀렸음을 알아냈을때도 100% 확신하지 못했는데 4번 선지를 보고 이걸 확인하는 순간 망한다는 생각이 들어 3번이 틀렸겠지 하고 넘어갔던 문제다. 또한 에너지 수지 문제가 올해 시험에 꽤나 출제됐으니 에너지 수지를 다양한 상황에 적용해보는 연습이 필요할 것이다.

1. 필요한 개념 및 해설
열기관 작동 순서에 관한 문제다. 카르노 사이클은 "가역단열 > 등온(Th) > 가역단열 > 등온(Tc)" 순으로 작동하므로 이에 해당하는 순서만 고르면 된다.
2. 나의 생각
열기관 문제 중에서도 기본 개념만 묻는 쉬운 문제로 출제되었다. 더 어렵게 출제되기도 했으니 다양한 종류의 열기관을 충분히 공부하자.

1. 필요한 개념 및 해설
앞의 문제에서도 언급한 적이 있는데, 효율이 나오는 문제는 이상적인 것을 이용해 실제 값을 계산하겠다는 생각을 하고 있어야 한다. 문제의 열기관이 카르노 열기관이라면, 효율은 1 - 300/600 = 0.5 다. 따라서 실제 효율은 0.4이고, 동력이 1kW이므로 Qh는 2.5kW이다. 문제에서는 버리는 열량인 Qc를 물었고, Qc = Qh - W =1.5kW이다. 답은 kWh의 단위를 요구하는데, 1kWh는 1kW를 1시간 동안 사용한 에너지양을 의미하므로 그대로 1.5를 고르면 된다.
2. 나의 생각
항상 나오는 빈출 문제다. 이런 문제는 빠르고 정확하게 푸는 연습을 해서 30초 안으로 끊는 연습을 해보자.

1. 필요한 개념 및 해설
스미스 책의 제트기관 단원을 내용을 그대로 문제로 만든 것이다. 선지 4가 틀린 이유는 Otto 사이클이 아니라 Brayton 사이클이다. Otto 사이클은 주로 자동차 엔진으로 사용되고 있는 것으로 알고 있다.
2. 나의 생각
제트기관이 기출에 출제된 적이 없어서 정리해둔 것이 큰 도움이 됐다. 제트기관 내용 중 선지 4에 해당하는 내용이 변형되어 나올 수 있다고 생각했고, 정리한 내용 그대로 출제되어서 반갑게(?) 찍고 넘어갔다. 어느정도 기출공부가 되신 분들은 전공책을 읽으면서 나올만한 내용을 보충해 정리해두면 큰 도움이 될 것이다.
'합격자가 푸는 기출해설 > 22년 국가직 7급' 카테고리의 다른 글
| 22년 전달현상 나책형 1~5문 (0) | 2023.09.02 |
|---|---|
| 22년 화공열역학 나책형 21~25문 (0) | 2023.07.29 |
| 22년 화공열역학 나책형 16~20문 (0) | 2023.02.22 |
| 22년 화공열역학 나책형 6~10문 (0) | 2023.02.16 |
| 22년 화공열역학 나책형 1~5문 (1) | 2023.02.06 |