
1. 필요한 개념 및 해설
무차원수에 대한 정의를 묻는 문제다. ㄱ,ㄴ은 정선지, ㄷ은 슈미트수(Sc)에 대한 설명이다.
2. 나의 생각
무차원수는 전달현상의 기본 개념이다. 필수로 암기하자.

1. 필요한 개념 및 해설
간단하게 풀면 0~10분동안 1/5이 감소했으므로, 10~20분의 시간에서도 1/5이 감소해야한다.
(괄호안의 조건이 모두 이상적인 상황을 가정했고, 시간이 둘다 10분으로 동일하기 때문)
10분일때 A는 20이 있었으므로, 20분이 되면 1/5이 감소한 4가 남게되어 정답은 3번이다.
사실 이 문제를 정말 정확하게 풀려면 증류탑 1단의 개념을 알고 있어야하는데, 다른 문제에 유용하게 쓰일 수 있으므로 추가로 설명해보겠다.

그림을 간단하게 설명하면 액체는 위에서 아래로, 기체는 아래에서 위로 흐르면서 액체와 기체간의 농도차로 인해 농도변화가 생기게되고, 그 결과가 xb, yb이다. 여기서 중요한 것은 나가는 액체, 기체 흐름은 평형을 이룬다는 것이다. 이것을 이 문제에도 적용하면 ya는 항상 0이고, 평형식의 기울기는 항상 일정하므로 yb를 xb로 표현할 수 있다. 따라서 시간이 일정하다면, 증류탑의 변수인 xa, xb의 비율은 항상 일정하다는 것이다.
예시가 필요할 것 같아 이 개념을 이용해 굳이 문제를 풀어보면 아래와 같다.

2. 나의 생각
이 문제를 시험장에서 정석풀이대로 절대 풀면 안된다. 지금 다시 보니 정석적인 풀이는 이렇다라는 것이지 시험장에서는 이렇게 이상적인 상황에서는 1/5이 줄었겠지 하면서 3번을 찍었다. 위의 개념은 알고 있으면 좋고, 분명 문제 풀때 한번쯤은 적용할 상황이 생길 것이다.

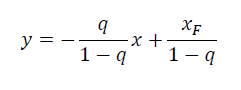
1. 필요한 개념 및 해설
원료공급선 공식만 알고있으면 쉽게 풀 수 있는 문제다. 식은 아래와 같다.

문제에서 기울기를 물어봤으니 q값을 알면 되는데, 액체상이 60%, 기체상이 40%라고 했으므로 q = 0.6이 된다.
(q는 공급원료의 상태를 나타내는 인자라고 생각하면 되는데, 포화증기인 경우 0, 포화액체인 경우 1로 표현한다)
따라서 기울기는 -0.6 / 0.4 = -1.5이다.
2. 나의 생각
증류탑과 관련된 문제는 빈출주제로 원료공급선, q, 환류비 정도는 개념을 완벽히 알고 있어야한다.

1. 필요한 개념 및 해설
누센 확산계수에 대한 식을 알고 있어야 한다. 식은 아래와 같다.

식을 이용해 가,나의 누센 확산계수를 계산하면 아래와 같다.

2. 나의 생각
누센수, 누센 확산계수도 빈출 기출내용이다. 완벽하게 숙지하고 있어야한다.

1. 필요한 개념 및 해설
아래의 식을 알고 있어야 풀 수 있는 문제다. S는 선택도(selectivity)를 의미하고 x는 산소의 몰분율, y는 질소의 몰분율을 의미한다.

위 식을 풀면 x = 0.515 이므로 정답은 3번이다.
2. 나의 생각
찍고 넘어갔던 문제 중 하나다. 시험장에서 생소하다고 생각했고, 처음 보는 유형이라 판단해 풀 수 없다고 생각했었다. 액-액 추출에서 나온 선택도를 이용하면 되는 문제였고, 지금봐도 시험장에서 절대 풀 수 없을 것 같다. 액체 추출뿐만 아니라 기체 막분리의 선택도도 동일한 개념을 적용하면 되는 것을 알고 넘어가면 되고, 분리막의 투과도 및 분리계수 정도는 시간이 남는다면 확인하고 넘어가면 좋을 것 같다(Mccabe 책에 관련한 내용이 있다)
'합격자가 푸는 기출해설 > 22년 국가직 7급' 카테고리의 다른 글
| 22년 전달현상 나책형 11~15문 (2) | 2024.02.12 |
|---|---|
| 22년 전달현상 나책형 1~5문 (0) | 2023.09.02 |
| 22년 화공열역학 나책형 21~25문 (0) | 2023.07.29 |
| 22년 화공열역학 나책형 16~20문 (0) | 2023.02.22 |
| 22년 화공열역학 나책형 11~15문 (0) | 2023.02.18 |