
1. 필요한 개념 및 해설
(다)
비압축성 유체에 대한 개념은 스미스 책에 있다. 나올만한 주제라고 생각해 정리한 것이 큰 도움이 되었다. 아래 링크에 정리했으니 몰랐던 내용이라면 암기해야한다. 결론만 말하면 비압축성 유체에서 Cp와 Cv는 동일하다고 본다.
https://chembeginer.tistory.com/7
(라)
'산술 평균'이 틀렸다. 평균 Cp는 각 성분의 몰분율과 Cp를 곱한 값의 합이다.
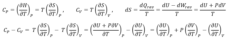
(가), (나)
아래 증명과정을 참고하면 된다. 스스로 유도해보면 도움이 될 것이다.


2. 나의 생각
쉽지 않은 문제였다. (나)는 시험장에서 바로 유도하기 어렵고, (다)와 (라)는 언뜻 보면 그럴듯하게 보이기 때문에 아마 많은 분들이 틀렸을 것으로 예상되는 문제다. 출제자의 배려?인지는 모르겠지만 선지에 (가), (다)가 있었으면 더 많은 분들이 낚이지 않았을까 싶다. 실제 시험장에서 풀 때 (가)는 확실히 알았고, (다), (라)가 확실히 틀리다고 생각해 1번을 골랐다. (나)는 보자마자 건드릴 생각을 안했던 것 같다.
선지 (가), (나)와 같은 유형의 문제는 유도해본 기억이 난다면 매우 쉽게 풀리지만 한번 풀리지 않으면 끝까지 풀리지 않는다. 화공기사에 이런 유형의 문제가 종종 출제되기 때문에 이런 유형만 따로 모아서 풀어보기를 추천한다.

1. 필요한 개념 및 해설
펌프의 일과 관련된 문제도 빈출주제다. 효율이 주어진다면 이상적인 펌프, 즉 등엔트로피인 펌프를 이용해 실제 필요한 일을 구한다는 것을 떠올려야 한다. 스미스 책에 등엔트로피 펌프에 대한 설명이 있으니 찾아보도록 하자. 관련 식은 아래와 같다.

문제에 물의 비부피는 변하지 않는다고 명시되어 있기 때문에 V가 일정한 상수이므로 적분기호 밖으로 나올 수 있다. 문제에 부피가 일정하다는 가정이 따로 없어도 일반적으로 액체의 부피는 압력에 따라 변하지 않는다고 보기 때문에 액체의 경우 아래와 같이 정리될 수 있다.

위의 식을 이용해 등엔트로피 펌프의 일을 계산하면 1000 × (8000 - 500) = 7500000 kPa·cm3 / kg = 7500 J/kg = 7.5 kJ/kg 이다. 효율이 25% 이므로 실제로 펌프가 해야하는 일은 7.5 / 0.25 = 30 kJ/kg 이다. 필자는 효율을 계산할 때 따로 공식을 외우지 않고 문제의 상황에 맞게 판단하면서 계산한다. 이번 문제에서는 이상적일때 7.5만큼 일을 하는데 실제로는 이상적이지 않아 일이 더 필요하다(펌프가 해주는 결과가 동일하다면 펌프에 쓰이는 일이 작을수록 유리함) 따라서 실제 일은 7.5보다 더 커져야하니까 7.5에 4를 곱하는 식으로 계산한다. 선지에 7.5보다 작은 수는 없으니까 4를 그냥 곱해줘도 된다.
2. 나의 생각
스미스 책에 펌프외에도 다양한 장치(ex. 관흐름, 노즐)에 대한 설명이 나온다. 이 부분도 같이 정리해두면 좋을 것 같다. 글을 적다보니 효율에 대한 필자의 방법이 헷갈릴 수도 있겠다는 생각이 든다. 그냥 식 외우는게 편한 분들은 효율식을 암기하면 된다. 필자의 경우 식 외우는게 더 헷갈려서 이런 방법을 찾은 것이다.

1. 필요한 개념 및 해설
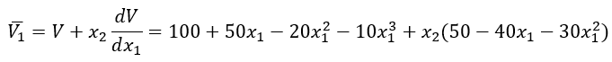
이성분계 용액의 부분성질에 대한 문제다. 스미스 책에 나온 식을 알고 있으면 쉽게 풀 수 있다. 아래 식은 온도와 압력이 일정한 경우에만 적용할 수 있다.

이 문제는 성분 1의 부분몰부피를 구하면 되니까 첫번째 식을 이용한다.

x1 = 0.1, x2 = 0.9이므로 이 값을 전부 대입하고 계산하면 대강 146 정도가 된다.
2. 나의 생각
사용된 식의 유도과정까지 알아야하는지는 의문이지만, 부분몰성질의 정의와 부분몰성질을 이용한 용액몰성질 계산은 알아두면 좋을 것 같다. 이 문제는 좀 독특했던 것이 선지에 '약'이라는 단어가 사용된 것이다. 눈치가 빠른 분들은 '약'을 보고 대충 큰 수부터 계산해 복잡한 계산을 조금이나마 줄일 수 있었을 것이다.

1. 필요한 개념 및 해설
아래와 같은 개념을 알고 있으면 이 문제를 쉽게 풀 수 있다.

마지막 식에 조건을 대입하면 정답은 쉽게 나온다.
2. 나의 생각
마지막 식은 필수로 암기해야 하는 식이다. 유도과정도 복잡하지 않아 얼마든지 응용해서 출제 가능하니 알아두자.

1. 필요한 개념 및 해설
이 문제는 열린계의 에너지수지를 알고 있어야 풀 수 있다. 문제 조건을 이용해 에너지 수지식을 간단히하는 과정은 아래와 같다.

노즐 출구의 T와 P가 압축기 입구의 T, P와 동일하므로 노즐 출구와 압축기 입구의 엔탈피도 동일하다. 따라서 축일은 "(속도 제곱값의 차이) / 2 × 유량" 으로 계산할 수 있다. 따라서 (250000 - 10000) / 2 × 10 = 1200000 J/s = 1200 kW
2. 나의 생각
실제 시험장에서는 정확하게 위의 해설대로 풀기 어렵다. 당시 기억을 떠올려보면, 문제 마지막 괄호 표현을 보고 압축기의 동력이 모두 속도변화에 이용됐다고 생각(압력이 중간에 변했지만 결국 초기조건으로 돌아왔으므로 속도만 달라졌다는 것을 알고 있었음)했고, 속도 차이로 발생한 에너지가 120 kJ/kg 임을 계산했다. 문제에서는 동력(kW)을 묻고 있으므로 여기에 유량만 곱해서 1200 kJ/s 가 나와 답으로 고르고 넘어갔다. 이런 판단은 문제를 많이 풀면서 얻어지는 것 같다.
'합격자가 푸는 기출해설 > 22년 국가직 7급' 카테고리의 다른 글
| 22년 전달현상 나책형 1~5문 (0) | 2023.09.02 |
|---|---|
| 22년 화공열역학 나책형 21~25문 (0) | 2023.07.29 |
| 22년 화공열역학 나책형 16~20문 (0) | 2023.02.22 |
| 22년 화공열역학 나책형 11~15문 (0) | 2023.02.18 |
| 22년 화공열역학 나책형 1~5문 (1) | 2023.02.06 |